Например TDA7294

Форум РадиоКот • Просмотр темы - Трансформатор тока на ферритовом кольце на НЧ 50Гц
Форум РадиоКот
Здесь можно немножко помяукать :)

Текущее время: Вт дек 23, 2025 03:24:15

Часовой пояс: UTC + 3 часа


ПРЯМО СЕЙЧАС:



Начать новую тему Ответить на тему  [ Сообщений: 13 ] 
Автор Сообщение
Не в сети
 Заголовок сообщения: Трансформатор тока на ферритовом кольце на НЧ 50Гц
СообщениеДобавлено: Чт апр 04, 2013 23:52:54 
Это не хвост, это антенна
Аватар пользователя

Карма: 17
Рейтинг сообщений: 18
Зарегистрирован: Чт апр 04, 2013 22:22:57
Сообщений: 1363
Откуда: Белгород, РФ
Рейтинг сообщения: 0
Вот интересно, как рассчитать трансформатор тока на стандартном МН2000 кольце? Обычный трансформатор очевидно без проблем считаем по соотношению обмоток 100:1 и нагружаем резистором 0.5 ома например.

А как поведет себя феррит? Он же "слабый" для 50Гц и "слабо" свяжет 2 обмотки.

Например в первой обмотке 1-10 ампер, вторая 100 витков и нагружена на резистор 1 ом, или 1000 ом, что у нас будет на вторичной обмотке вообще? Вроде передаточная характеристика будет линейной, там магнитное поле слабое, в насыщение кольцо не уйдет. Что ожидать на вторичной обмотке, 0.01В или 100В? :)

Ферритовое кольцо может быть удобнее чем обычный транформатор, мелкое, в отверстие как-раз проходит толстый провод, кольцо можно расколоть и склеить поверх провода, не отключая потребителей и т.п. Ну и обычный транформатор тока при плохом контакте с нагрузочном резистором вообще может загореться, ферритовый из-за более слабого поля внутри себя не загорится точно.


Вернуться наверх
 
Не в сети
 Заголовок сообщения: Re: Трансформатор тока на ферритовом кольце на НЧ 50Гц
СообщениеДобавлено: Пт апр 05, 2013 02:02:38 
Друг Кота
Аватар пользователя

Карма: 233
Рейтинг сообщений: 11338
Зарегистрирован: Чт авг 30, 2012 20:24:40
Сообщений: 37346
Откуда: Нижний Новгород
Рейтинг сообщения: 0
У феррита петля гистерезиса слишком полога для 50 Гц, чтобы насытиться. Хотя в старом журнале видел схемку на кольце из феррита типа сигнализатора нагрузки в квартире. Сделан по такому же принципу. Работает. Надо эмпирическим путём наверно подбирать - расчёты тут сложные, да и кривую насыщения не будешь же снимать для каждого кольца...


Вернуться наверх
 
Не в сети
 Заголовок сообщения: Re: Трансформатор тока на ферритовом кольце на НЧ 50Гц
СообщениеДобавлено: Пт апр 05, 2013 08:34:09 
Это не хвост, это антенна
Аватар пользователя

Карма: 17
Рейтинг сообщений: 18
Зарегистрирован: Чт апр 04, 2013 22:22:57
Сообщений: 1363
Откуда: Белгород, РФ
Рейтинг сообщения: 0
Думаю вся сложность будет в замороченной связи сопротивления нагрузки и напряжения, одно напряжение без нагрузки, другое с резистором 1000 ом, третье с резистором 10 ом, какое лучше и хотелось бы узнать :) Есть вариант вообще без феррита, 10 витков провода вокруг провода с током, тоже непонятно что ловить на выходе и согласовывать, связь то еще слабее.

Точное измерение тока делается чуть сложнее, датчик холла в зазоре кольца, кольцо как усилитель поля в одну точку, а с балансной катушкой что поле в ноль балансирует вообще точность достигается идеальная и любые токи меряются и постоянные и переменные. Но это сложнее, кольца пилить нужно ))


Вернуться наверх
 
Не в сети
 Заголовок сообщения: Re: Трансформатор тока на ферритовом кольце на НЧ 50Гц
СообщениеДобавлено: Пт апр 05, 2013 12:36:44 
Друг Кота
Аватар пользователя

Карма: 233
Рейтинг сообщений: 11338
Зарегистрирован: Чт авг 30, 2012 20:24:40
Сообщений: 37346
Откуда: Нижний Новгород
Рейтинг сообщения: 0
Трансформатор тока всегда должен работать в режиме короткого замыкания. Посмотрите на промышленные схемы. Там ко вторичке амперметр на 5 А подключен напрямую! А если его снимать, чтоб сдать в поверку, допустим, то надо закоротить вторичку перемычкой. Иначе разовьётся сумасшедшее напряжение на вторичке. Но это для больших нагрузок. Я работал в ЭТЛ на крупном предприятии. У нас там были ТТ от 50/5 до 2000/5. И кривую намагничивания я с них тоже снимал. Для микротрансформаторов - не могу сказать.


Вернуться наверх
 
Эиком - электронные компоненты и радиодетали
Не в сети
 Заголовок сообщения: Re: Трансформатор тока на ферритовом кольце на НЧ 50Гц
СообщениеДобавлено: Пт апр 05, 2013 16:40:36 
Говорящий с текстолитом

Зарегистрирован: Чт авг 06, 2009 20:34:52
Сообщений: 1627
Откуда: Новосибирск
Рейтинг сообщения: 1
Зачем снимать какие-то кривые?... :dont_know:
Для каждого материала известна индукция насыщения. Для феррита она примерно 0,1Тл.
Индукция равна B=Ф/N/s, где Ф-поток, N-количество витков, s-поперечное сечение магнитопровода. Поток, в свою очередь, Ф=L*I, где L-индуктивность, I-ток через обмотку. Ток через обмотку I=интеграл по времени(U)/L. Если напряжение U=U0*sin(wt), то его интеграл равен -U0*cos(wt)/w. Всё это подставляем, получаем: B=U0*cos(wt)/w/N/s. Максимальное B, при cos(wt)=1 B=U0/N/s/w < Bнас. Так что, ничто в принципе не запрещает делать силовые трансформаторы на феррите. Нужно только намотать витков больше чем N>U0/s/w/Bнас. Что получим для U0=300В (примерная амплитуда напряжения в сети)? N>U0[В]/w[рад/сек]/B[Тл]/s[м*м]=300/300/0,1/0,0001=100 000 витков для сердечника сечением 1 кв.см. Поэтому на феррите и не делают сетевых трансформаторов. :tea:
Что касается трансформаторов тока, то их делают для измерения тока на феррите для импульсных преобразователей.


Вернуться наверх
 
Не в сети
 Заголовок сообщения: Re: Трансформатор тока на ферритовом кольце на НЧ 50Гц
СообщениеДобавлено: Пт апр 05, 2013 21:04:16 
Это не хвост, это антенна
Аватар пользователя

Карма: 17
Рейтинг сообщений: 18
Зарегистрирован: Чт апр 04, 2013 22:22:57
Сообщений: 1363
Откуда: Белгород, РФ
Рейтинг сообщения: 0
Что-то ненаглядные формулы, надо бы в эксель какой или программу вычислятор )) 300В нам не нужно, если трансформатор тока эквивалентен трансформатору напряжения на 0.01В, тогда и число витков сокращается до 10 в первичке и 100 на вторичке. Как я понял из за того что феррит более "хилый" чем железо, витков мотают в 100 раз больше.

Если феррит одеваем поверх провода с током 15 ампер, Ф=1*15=15 чего-то там и далее непонятно )))

Скорее всего всё будет примерно тоже самое, на катушку мотаем 1000 витков, 15 ампер в первичке превращаем в 15 мА во вторичке, нагружаем на резистов в 100 ом и подаем на АЦП какой-нибудь, где замеряем 1.5В, цепь потребляет 22 мВт.

или мотаем на вторичке 100 витков, ток 150 мА, резистор 10 ом, на АЦП подаем те же 1.5В, но мощность уже 220 мВт, не поплохеет ли ферриту? :) а так второй вариант проще, потому что меньше провода мотать.


Вернуться наверх
 
Не в сети
 Заголовок сообщения: Re: Трансформатор тока на ферритовом кольце на НЧ 50Гц
СообщениеДобавлено: Сб апр 06, 2013 09:43:50 
Говорящий с текстолитом

Зарегистрирован: Чт авг 06, 2009 20:34:52
Сообщений: 1627
Откуда: Новосибирск
Рейтинг сообщения: 1
Вот формулы в удобоваримом виде:
СпойлерИзображение


Вложения:
Form.PNG [9.64 KiB]
Скачиваний: 11903
Вернуться наверх
 
Не в сети
 Заголовок сообщения: Re: Трансформатор тока на ферритовом кольце на НЧ 50Гц
СообщениеДобавлено: Сб апр 06, 2013 12:36:33 
Это не хвост, это антенна
Аватар пользователя

Карма: 17
Рейтинг сообщений: 18
Зарегистрирован: Чт апр 04, 2013 22:22:57
Сообщений: 1363
Откуда: Белгород, РФ
Рейтинг сообщения: 0
Ну это опять всё для трансформатора напряжения. Там в формуле есть переменная L, она у феррита низкая, поэтому и трансформатор напряжения из феррита никакой. С трансформатором тока всё и проще и сложнее. Чую тут всплывет ограничение на передаваемую мощность через феррит, из-за его слабой магнитной проницаемости, мощность на 50Гц будет настолько маленькая что не хватит для измерительного прибора (АЦП или вольтметр-гальванометр), они просто ноль покажут и всё.

Вот схему нарисовал, трансформатор тока идеальный с умеренным коэффициентом преобразования, 1:10 например. "Проблемы" имитирует R1, который равен 0.01 ома у ТТ на основе железа, на глазок 1 КОм для феррита и 1 МОм для воздуха. Соответственно нагрузка должна быть сравнима по сопротивлению с R1, иначе напряжение упадет в ноль, R2 ~ R1.

И формула по расчету R1 будет что-то вроде R1=K/(магнитная проницаемость сердечника), где К подгоняем или считаем по хитрым формулам.

Чтобы не терять напряжение, которое и так маленькое, хотелось бы отказаться от R2 вообще. Что получим? Изменение тока даст изменение магнитного поля, и изменение напряжения. В итоге на выходе будет не аналог тока в обмотке, а его производная. Получили измеритель производной тока :) Для чистой синусоиды сойдет, а для реального тока в электросети, вряд ли, особенно когда есть импульсные блоки питания в нагрузке. Вместо прямоугольных импульсов потребления тока получим импульсы короткие. Хотя программно можно легко восстановить и форму тока, интегрируя его. А вот напрямую на вольтметр уже не отдать.

И тут всплывает новая проблема, при R3 не равной нулю, это сопротивление измерительного прибора, будет искажение измерения, к производной тока добавится вляние самого тока, потребуется буфер какой-то с мегаомным сопротивлением.

Открытым остается вопрос, вот при токе в первичке например 10 ампер, какого порядка наведётся во вторичной обмотке из 100 витков? кроме как практического эксперимента? Думаю будет что-то вроде 1 мВ на виток... что маловато конечно, более 100 витков мотать нетехнологично уже.


Вложения:
zzzzzzz.png [5.27 KiB]
Скачиваний: 1442
Вернуться наверх
 
Не в сети
 Заголовок сообщения: Re: Трансформатор тока на ферритовом кольце на НЧ 50Гц
СообщениеДобавлено: Сб апр 06, 2013 15:38:27 
Говорящий с текстолитом

Зарегистрирован: Чт авг 06, 2009 20:34:52
Сообщений: 1627
Откуда: Новосибирск
Рейтинг сообщения: 3
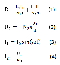
И в трансформаторе тока и в трансформаторе напряжения нужно не допустить насыщения сердечника. Для этого нужно вычислить магнитную индукцию B в сердечнике и выбрать такое количество витков (для заданного скрдечника), чтобы максимальная индукция в сердечнике не превысила индукцию насыщения Bнас, которая тоже является справочной характеристикой сердечника. Магнитная индукция в сердечнике равна сумме индукций, создаваемых токами, протекающими через обмотки (уравнение 1). Напряжение (эдс) во вторичной обмотке пропорционально производной от полной индукции в сердечнике (уравнение 2). Дальше идут граничные условия: ток в первичке просто равен измеряемому току (уравнение 3), а ток во вторичке равно напряжению на вторичке, делённое на сопротивление нагрузки (уравнение 4). Получается система дифф. уравнений.
СпойлерИзображение
Если её решить, то можно рассчитать всё (ну, с точностью до потерь и тп).
Если есть возможность и желание - попробуйте... Я тоже на досуге порешаю... :tea:

Кстати, для трансформатора напряжения формулы выглядят так:
СпойлерИзображение


Вложения:
Form2.PNG [7.22 KiB]
Скачиваний: 10951
Form1.PNG [5.68 KiB]
Скачиваний: 10896
Вернуться наверх
 
Не в сети
 Заголовок сообщения: Re: Трансформатор тока на ферритовом кольце на НЧ 50Гц
СообщениеДобавлено: Сб апр 06, 2013 19:30:47 
Это не хвост, это антенна
Аватар пользователя

Карма: 17
Рейтинг сообщений: 18
Зарегистрирован: Чт апр 04, 2013 22:22:57
Сообщений: 1363
Откуда: Белгород, РФ
Рейтинг сообщения: 0
1. Я не представляю L обмотки вообще, даже порядок величины, формулы интересные но не практичные :)
2. Насыщения не будет, магнитное поле даже на 1/1000 к насыщению не подойдет, при 1 витке токовом. Для сравнения в блоке питания ПК токи в сотни ампер и десятки витков вокруг того же феррита.

Думаю всё таки общими усилиями велосипед успешно изобретен, ферритом можно измерять переменный НЧ ток с некоторыми особенностями которые надо учесть программно - проинтегрировать результат измерения. Не нужно разрезать провод, ставить шунт и т.п.
----------
Под вопросом измерение тока без феррита вообще, намотав на измеряемый провод несколько витков (или несколько сотен витков) провода что уловит магнитное поле. Решение еще универсальней и проще. Особенно когда в щитке каком-нибудь шины в руку толщиной и нежелательно отключать нагрузку. Думаю напряжение будет такое мелкое, что его нужно будет повысить трансформатором (трансформатор напряжения), с 0.001В(?) до 1В хотябы. Нарисовал картинку, вроде должно работать, но какие напряжения будут на выходе сказать сложно. И согласующий трансформатор тоже непонятно какой нужен, хотябы порядок величин количества обмоток, 1 виток в первичке и 1000 на вторичке?


Вложения:
zzz2.png [2.92 KiB]
Скачиваний: 1210
Вернуться наверх
 
Не в сети
 Заголовок сообщения: Re: Трансформатор тока на ферритовом кольце на НЧ 50Гц
СообщениеДобавлено: Пн апр 08, 2013 16:48:23 
Говорящий с текстолитом

Зарегистрирован: Чт авг 06, 2009 20:34:52
Сообщений: 1627
Откуда: Новосибирск
Рейтинг сообщения: 0
Индуктивности обмоток сокращаются...
Предварительно (может где-то ошибся) получились следующие формулы:
СпойлерИзображение
При условии, что R/L2>>w~300.


Вложения:
Form3.PNG [5.72 KiB]
Скачиваний: 10845
Вернуться наверх
 
Не в сети
 Заголовок сообщения: Re: Трансформатор тока на ферритовом кольце на НЧ 50Гц
СообщениеДобавлено: Вт апр 09, 2013 13:50:06 
Друг Кота

Карма: 28
Рейтинг сообщений: 568
Зарегистрирован: Чт май 05, 2011 21:26:34
Сообщений: 4550
Откуда: Украина, Славутич
Рейтинг сообщения: 1
Феррит в качестве сердечника ТТ не берут по другой причине - слишком мала у него магнитная проницаемость, что заставляет мотать больше витков для работы на низких частотах. А больше витков, особенно первички, это больше витков во вторичке и больше активное сопротивление обмоток - больше потери и т.д.

Феррит удобно использовать в ТТ основанных на эффекте Холла. тогда первичка составляет 0.5-1 витков, а вторичка рассчитывается исходя из компенсации магнитного поля первичной обмотки. При этом суммарный магнитный поток в сердечнике равен нулю. При этом свойства феррита играют только наруку - компенсирующее поле подстраивается под первичную обмотку быстрее чем в случае с железом.


Вернуться наверх
 
Не в сети
 Заголовок сообщения: Re: Трансформатор тока на ферритовом кольце на НЧ 50Гц
СообщениеДобавлено: Вт апр 09, 2013 16:53:59 
Говорящий с текстолитом

Зарегистрирован: Чт авг 06, 2009 20:34:52
Сообщений: 1627
Откуда: Новосибирск
Рейтинг сообщения: 0
Число витков связано с индукцией насыщения. Причём тут магнитная проницаемость. :dont_know:
По поводу получившихся формул, то если учесть, что ток во вторичке меньше, чем ток в первичке в N1/N2 раз, то получается классическая формула для определения числа витков:
СпойлерИзображение
То есть тр-р тока нужно рассчитать так:
Задать максимальное напряжение на вторичке U2, скажем 1В.
Пусть сердечник имеет сечение s=1кв.см=0,0001кв.м, индукцию насыщения Bн=0,1Тл, частота f=50Гц - w=2пиf~300.
Тогда получаем число витков во вторичке N2=333 витка. В первичке возьмём 1 виток.

Если мы возьмём нагрузочный резистор 1 кОм, то максимальной ток во вторичке - 1 мА (1 кОм*1 мА=1 В), что соответствует току в первичке 333 мА.
Если мы возьмём нагрузочный резистор 100 Ом, то максимальной ток во вторичке - 10 мА (100 Ом*10 мА=1 В), что соответствует току в первичке 3,33 А.
Если мы возьмём нагрузочный резистор 10 Ом, то максимальной ток во вторичке - 100 мА (10 Ом*100 мА=1 В), что соответствует току в первичке 33,3 А.
Если мы возьмём нагрузочный резистор 1 Ом, то максимальной ток во вторичке - 1000 мА (1 Ом*1000 мА=1 В), что соответствует току в первичке 333 А.
Ну и тд... :tea:


Вложения:
Form4.PNG [2.45 KiB]
Скачиваний: 11253
Вернуться наверх
 
Показать сообщения за:  Сортировать по:  Вернуться наверх
Начать новую тему Ответить на тему  [ Сообщений: 13 ] 

Часовой пояс: UTC + 3 часа


Кто сейчас на форуме

Сейчас этот форум просматривают: Majestic-12 [Bot] и гости: 20


Вы не можете начинать темы
Вы не можете отвечать на сообщения
Вы не можете редактировать свои сообщения
Вы не можете удалять свои сообщения
Вы не можете добавлять вложения

Найти:
Перейти:  


Powered by phpBB © 2000, 2002, 2005, 2007 phpBB Group
Русская поддержка phpBB
Extended by Karma MOD © 2007—2012 m157y
Extended by Topic Tags MOD © 2012 m157y