Например TDA7294

Форум РадиоКот • Просмотр темы - Частотный детектор
Форум РадиоКот
Здесь можно немножко помяукать :)

Текущее время: Ср мар 11, 2026 03:37:57

Часовой пояс: UTC + 3 часа


ПРЯМО СЕЙЧАС:



Начать новую тему Ответить на тему  [ Сообщений: 129 ]    , , 3, , , ,  
Автор Сообщение
 Заголовок сообщения: Re: частотный детектор
СообщениеДобавлено: Вт май 22, 2012 23:21:59 
Вечно гонимый

Карма: -18
Рейтинг сообщений: -182
Зарегистрирован: Пт дек 30, 2011 17:55:52
Сообщений: 6083
Откуда: Севастополь - Орел
Рейтинг сообщения: 0
Anya07rt писал(а):
в том и проблема,что мне надо частотная подстройка гетеродина, а в синтезаторах только фазовая(


А это не одно и тоже? :))) частота то автоматически подстраивается по фазе

_________________
"Да, человек смертен, но это было бы еще полбеды.
Плохо то, что он иногда внезапно смертен, вот в чем фокус!" (Воланд)


Изображение


Вернуться наверх
 
 Заголовок сообщения: Re: частотный детектор
СообщениеДобавлено: Вт май 22, 2012 23:39:28 
Родился

Зарегистрирован: Вт май 22, 2012 15:23:15
Сообщений: 13
Рейтинг сообщения: 0
ну отличаются же фазовые детекторы от частотных, хотя я начинаю задумываться что наверное можно заменить фазовой, осталось тока обосновать можно или структурную схему менять придеться.


Вернуться наверх
 
 Заголовок сообщения: Re: частотный детектор
СообщениеДобавлено: Вт май 22, 2012 23:48:10 
Вечно гонимый

Карма: -18
Рейтинг сообщений: -182
Зарегистрирован: Пт дек 30, 2011 17:55:52
Сообщений: 6083
Откуда: Севастополь - Орел
Рейтинг сообщения: 0
Обратите внимание на УКВ приёмники с ФАПЧ... http://www.google.com/search?client=aff ... 0%9F%D0%A7

Микросхемы УКВ приёмников К174ХА34, К174ХА42, TDA7088, TDA7000, TDA7021 и подобные... в них АПЧ и на 30 мГц они работают

_________________
"Да, человек смертен, но это было бы еще полбеды.
Плохо то, что он иногда внезапно смертен, вот в чем фокус!" (Воланд)


Изображение


Вернуться наверх
 
 Заголовок сообщения: Re: частотный детектор
СообщениеДобавлено: Вт май 22, 2012 23:49:17 
Встал на лапы

Карма: 3
Рейтинг сообщений: 9
Зарегистрирован: Ср апр 04, 2012 13:03:31
Сообщений: 100
Рейтинг сообщения: 0
Anya07rt писал(а):
ну отличаются же фазовые детекторы от частотных
Вот так из фазового детектора делается частотный детектор.

Изображение


Вернуться наверх
 
Эиком - электронные компоненты и радиодетали
 Заголовок сообщения: Re: частотный детектор
СообщениеДобавлено: Ср май 23, 2012 00:23:46 
Родился

Зарегистрирован: Вт май 22, 2012 15:23:15
Сообщений: 13
Рейтинг сообщения: 0
Я так поняла что частотные детекторы уже не используются,по-этому я и не смогла найти конкретно микросхему ЧД?


Вернуться наверх
 
 Заголовок сообщения: Re: частотный детектор
СообщениеДобавлено: Ср май 23, 2012 00:39:23 
Мудрый кот
Аватар пользователя

Карма: 14
Рейтинг сообщений: 230
Зарегистрирован: Пн янв 12, 2009 01:59:20
Сообщений: 1815
Откуда: Россия.
Рейтинг сообщения: 0
Да их полно, но не на 30 мгц.
По правде говоря я вот не могу даже предположить не могу зачем нужен ЧД на 30 мгц?
Хотя на рассыпухе его можно хоть на гигагерц сделать.


Вернуться наверх
 
 Заголовок сообщения: Re: частотный детектор
СообщениеДобавлено: Ср май 23, 2012 00:53:39 
Родился

Зарегистрирован: Вт май 22, 2012 15:23:15
Сообщений: 13
Рейтинг сообщения: 0
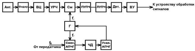
я уже начинаю во всем сомневаться,бррр промежуточная частота 30МГц, частота гетеродина 830 либо 770, мне кажется что всетаки частота детектора должна быть 30 МГц. или я ошибаюсь?


Вложения:
clip_image002.jpg [12.99 KiB]
Скачиваний: 682
Вернуться наверх
 
 Заголовок сообщения: Re: частотный детектор
СообщениеДобавлено: Ср май 23, 2012 01:01:19 
Встал на лапы

Карма: 3
Рейтинг сообщений: 9
Зарегистрирован: Ср апр 04, 2012 13:03:31
Сообщений: 100
Рейтинг сообщения: 0
Тогда все правильно. Нужен ЧД на 30 мгц и думаю дали такое специально, что бы нельзя было подобрать готовое и этим заставить вас работать головой.
Кстати К174УР3 и может работать на частоте 30 мгц, хотя рассчитана на частоты до 10,7 мгц, но это её недокументированные возможности и вам это не подойдет, т.к. что позволено радиолюбителям, не подойдет для курсового.
Думаю придется делать на рассыпухе и заняться все таки расчетами, как и предполагалось.


Вернуться наверх
 
 Заголовок сообщения: Re: частотный детектор
СообщениеДобавлено: Ср май 23, 2012 01:16:38 
Родился

Зарегистрирован: Вт май 22, 2012 15:23:15
Сообщений: 13
Рейтинг сообщения: 0
а если вместо частотного детектора поставить синтезатор с фапч, по функциональности будет работать так же как и частотная автоподстройка?


Вернуться наверх
 
 Заголовок сообщения: Re: частотный детектор
СообщениеДобавлено: Ср май 23, 2012 01:22:35 
Мудрый кот
Аватар пользователя

Карма: 14
Рейтинг сообщений: 230
Зарегистрирован: Пн янв 12, 2009 01:59:20
Сообщений: 1815
Откуда: Россия.
Рейтинг сообщения: 0
Там нужен не синтезатор, а судя по блок схеме делать ФАПЧ меджу частотой передатчика и гетеродином приемника.
По точности работать будет лучше, но у АПЧ можно добиться большей полосы захвата и полосы удержания. Если полосы захвата системы ФАПЧ хватит, то ФАПЧ будет даже лучше. Если полоса захвата должна быть очень большая, то ФАПЧ трудно будет сделать.
В задании эти параметры заданы или хотя бы нестабильность частоты генераторов даны?

А если уж синтезатор делать, то тогда никакой АПЧ или ФАПЧ между частотой передатчика и частотой гетеродина будет не нужна. Эти частоты точно выдаст синтезатор.


Вернуться наверх
 
 Заголовок сообщения: Re: частотный детектор
СообщениеДобавлено: Ср май 23, 2012 01:32:55 
Родился

Зарегистрирован: Вт май 22, 2012 15:23:15
Сообщений: 13
Рейтинг сообщения: 0
нет, жестких требований нет,нужно разработать приемник радиолокационной станции диапазона 800 МГц, остальные параметры я выбираю сама,нужно только что б приемник не был на совсем старых микросхемах. думаю я возьму лучше синтезатор. Все равно руководитель сам мало разбирается, ничего толкового посаветовать не может( главное красиво рассказать что ФАПЧ круче)
Всем большое спасибо за консультацию!!!!


Вернуться наверх
 
 Заголовок сообщения: Re: частотный детектор
СообщениеДобавлено: Ср май 23, 2012 08:31:46 
Друг Кота
Аватар пользователя

Карма: 64
Рейтинг сообщений: 1102
Зарегистрирован: Ср ноя 17, 2010 23:10:55
Сообщений: 5837
Откуда: Ижевск LO66NU
Рейтинг сообщения: 0
Определитесь в терминах, ЧАПЧ - частотная автоматическая подстройка частоты, то-есть масло-масленное. Так не говорят, нет такого термина, есть просто АПЧ. Почти все частотные детекторы в основе своей содержат фазовый детектор. Принцип частотного детектора заключается в том, что напряжение на контуре на резонансной частоте сдвинуто ровно на 90 градусов и при отклонении частоты от резонансной (девиация) изменяется и фазовый сдвиг, который и отрабатывается фазовым детектором. В простейшем случае это два диода-выпрямителя, в микросхемах, обычно, два входа дифференциального усилителя. Из старых смотрите К174УР1.

_________________
В начале жизнь мучает вопросами, в конце - ответами...


Вернуться наверх
 
 Заголовок сообщения: Re: частотный детектор
СообщениеДобавлено: Ср май 23, 2012 08:37:13 
Друг Кота
Аватар пользователя

Карма: 139
Рейтинг сообщений: 2985
Зарегистрирован: Чт янв 10, 2008 22:01:02
Сообщений: 24940
Откуда: Московская область, Фрязино
Рейтинг сообщения: 0
svic писал(а):
Определитесь в терминах, ЧАПЧ - частотная автоматическая подстройка частоты, то-есть масло-масленное. Так не говорят, нет такого термина, есть просто АПЧ.

:)
Есть такая "партия"!
Существует и ЧАПЧ и ФАПЧ.
Обычный радиотехнический термин, но не очень распространенный среди радиолюбителей.


Вернуться наверх
 
 Заголовок сообщения: Re: частотный детектор
СообщениеДобавлено: Ср май 23, 2012 09:08:21 
Друг Кота
Аватар пользователя

Карма: 64
Рейтинг сообщений: 1102
Зарегистрирован: Ср ноя 17, 2010 23:10:55
Сообщений: 5837
Откуда: Ижевск LO66NU
Рейтинг сообщения: 0
Возможно-возможно... Я тут предварительно в гугл глянул, в ВИКИ - везде про ФАПЧ (PLL). Такое впечатление, что термин теряет свою актуальность. IMHO.

_________________
В начале жизнь мучает вопросами, в конце - ответами...


Вернуться наверх
 
 Заголовок сообщения: Re: частотный детектор
СообщениеДобавлено: Ср май 23, 2012 09:14:27 
Вечно гонимый

Карма: -18
Рейтинг сообщений: -182
Зарегистрирован: Пт дек 30, 2011 17:55:52
Сообщений: 6083
Откуда: Севастополь - Орел
Рейтинг сообщения: 0
Вдумайтесь в глубокий смысл этих слов! - Частотная АвтоПодстройка Частоты :))) ...
Впервые слывшу :))) Марк, ссылочку пожалуйста на такое орпределение

_________________
"Да, человек смертен, но это было бы еще полбеды.
Плохо то, что он иногда внезапно смертен, вот в чем фокус!" (Воланд)


Изображение


Вернуться наверх
 
 Заголовок сообщения: Re: частотный детектор
СообщениеДобавлено: Ср май 23, 2012 10:10:25 
Друг Кота
Аватар пользователя

Карма: 82
Рейтинг сообщений: 1030
Зарегистрирован: Сб апр 02, 2011 12:40:46
Сообщений: 4779
Откуда: Минск
Рейтинг сообщения: 0
Anya07rt писал(а):
нужно разработать приемник радиолокационной станции диапазона 800 МГц


Так бы сразу и сказали. Если ПЧ 30 МГц, то частота гетеродина должна быть 830 МГц, либо 770 МГц. Для построения такого гетеродина нужен ГУН и микросхема PLL-синтезатора. В синтезаторе опорная частота (кварц) и частота гетеродина делятся до частоты сравнения, на которой работает встроенный фазовый детектор. Частота сравнения будет определять шаг перестройки приемника по частоте. Сделать гетеродин и смеситель такого приемника можно, например, на MC13142, в качестве синтезатора можно взять MC12202. Вообще, есть море подходящих микросхем, привожу для примера те, на которых что-то подобное когда-то делал.


Вернуться наверх
 
 Заголовок сообщения: Re: частотный детектор
СообщениеДобавлено: Ср май 23, 2012 10:21:55 
Друг Кота
Аватар пользователя

Карма: 64
Рейтинг сообщений: 1102
Зарегистрирован: Ср ноя 17, 2010 23:10:55
Сообщений: 5837
Откуда: Ижевск LO66NU
Рейтинг сообщения: 0
Anya07rt писал(а):
ну отличаются же фазовые детекторы от частотных, хотя я начинаю задумываться что наверное можно заменить фазовой, осталось тока обосновать можно или структурную схему менять придеться.
Кстати, на приведенной Вами структурке банальнейшая ФАПЧ (петля). Только между смесителем и ЧД необходим фильтр на 30МГц, т.к. избирательности фазосдвигающего контура ЧД будет явно недостаточно для устойчивой работы системы. Ну, а схему самого ЧД выбирайте сами - наберите в гугле "детектор отношений" или "дробный детектор" или просто "частотный дискриминатор".

_________________
В начале жизнь мучает вопросами, в конце - ответами...


Последний раз редактировалось svic Ср май 23, 2012 11:03:41, всего редактировалось 1 раз.

Вернуться наверх
 
 Заголовок сообщения: Re: частотный детектор
СообщениеДобавлено: Ср май 23, 2012 10:27:17 
Друг Кота
Аватар пользователя

Карма: 139
Рейтинг сообщений: 2985
Зарегистрирован: Чт янв 10, 2008 22:01:02
Сообщений: 24940
Откуда: Московская область, Фрязино
Рейтинг сообщения: 0
UA3ELR писал(а):
Вдумайтесь в глубокий смысл этих слов! - Частотная АвтоПодстройка Частоты :))) ...
Впервые слывшу :))) Марк, ссылочку пожалуйста на такое орпределение

Вова...
Открываешь ЛЮБОЙ учебник по радиоавтоматике и читаешь...
У меня сейчас нет возможности его скачать..., я на работе.
А вообще..., ты часто меня ловил на ошибках? Тем более таких простых... :) :wink:
ЗЫ. Тут не ищи литературной корректности... Вдумайся в смысл: транзисторно-транзисторная логика...


Последний раз редактировалось КРАМ Ср май 23, 2012 10:30:41, всего редактировалось 1 раз.

Вернуться наверх
 
 Заголовок сообщения: Re: частотный детектор
СообщениеДобавлено: Ср май 23, 2012 10:28:15 
Друг Кота
Аватар пользователя

Карма: 64
Рейтинг сообщений: 1102
Зарегистрирован: Ср ноя 17, 2010 23:10:55
Сообщений: 5837
Откуда: Ижевск LO66NU
Рейтинг сообщения: 0
Леонид Иванович, у нее не ЦАПЧ, а АПЧГ типа как в старых телевизорах, гетеродин приемника ведется частотой возбудителя со сдвигом 30Мс (1-я ПЧ) аналоговым образом.

_________________
В начале жизнь мучает вопросами, в конце - ответами...


Вернуться наверх
 
 Заголовок сообщения: Re: частотный детектор
СообщениеДобавлено: Ср май 23, 2012 10:32:39 
Друг Кота
Аватар пользователя

Карма: 139
Рейтинг сообщений: 2985
Зарегистрирован: Чт янв 10, 2008 22:01:02
Сообщений: 24940
Откуда: Московская область, Фрязино
Рейтинг сообщения: 0
ЗЗЫ. Вова... Нашел...
http://www.bestreferat.ru/referat-208802.html


Вернуться наверх
 
Показать сообщения за:  Сортировать по:  Вернуться наверх
Начать новую тему Ответить на тему  [ Сообщений: 129 ]    , , 3, , , ,  

Часовой пояс: UTC + 3 часа


Вы не можете начинать темы
Вы не можете отвечать на сообщения
Вы не можете редактировать свои сообщения
Вы не можете удалять свои сообщения
Вы не можете добавлять вложения

Найти:
Перейти:  


Powered by phpBB © 2000, 2002, 2005, 2007 phpBB Group
Русская поддержка phpBB
Extended by Karma MOD © 2007—2012 m157y
Extended by Topic Tags MOD © 2012 m157y